Every cubic centimeter of air contains tens of thousands of ultrafine particles. Driven by photochemical reactions during sunny noontime hours, air molecules can form stable molecular clusters and then grow into particles, increasing particle concentrations by an order of magnitude. How does this phenomenon occur? The research group led by Professor Jiang Jingkun from the School of Environment at Tsinghua University found that acid-base reactions are the main driving force for the rapid formation of new particles in the air, and the key mechanism lies in the formation of acid-base heterodimer clusters.
Gaseous H2SO4 molecules, produced by the photochemical reaction of sulfur dioxide, are the primary precursors of new particles. Atmospheric observations in Beijing and Shanghai, as well as previous CLOUD chamber experiments by the European Organization for Nuclear Research (CERN) , found that there are a large number of H2SO4-containing clusters molecules during the new particle formation period (Figure 1). Some of the measured H2SO4-containing clusters exist in the form of acid-base clusters such as H2SO4-amine clusters. It indicates that base molecules such as amines can participate in the formation of H2SO4-containing clusters, increasing their stability and enhancing the rate at which gaseous H2SO4 molecules transform into new particles.

Figure 1: Gas-phase molecules and cluster components during new particle formation
However, the measured acid-base clusters contain fewer base molecules than H2SO4 molecules, and the base molecules first appear in clusters containing two H2SO4 molecules. Therefore, some theories suggest that the formation of new particles from gaseous H2SO4 requires the initial formation of H2SO4 dimer clusters, and the binding of base molecules to H2SO4 homodimer clusters is a key step in determining the rate of new particle formation.
The research group found that the measurement of gaseous H2SO4 and H2SO4-containing cluster components inevitably has biases. Base molecules originally contained in H2SO4 clusters may be lost during the charging and other measurement processes, thus presenting the illusion of more acid and less base. More importantly, incomplete cluster components may hide the key clusters and mechanisms of new particle formation.
By combining theory and observation, the research group proposed that the formation of acid-base heterodimer clusters is the key mechanism for new particle formation. Acid-base heterodimer clusters have higher stability than H2SO4 homodimer clusters, allowing them to generate stable clusters containing two or more H2SO4 molecules more efficiently, thereby forming new particles more effectively.
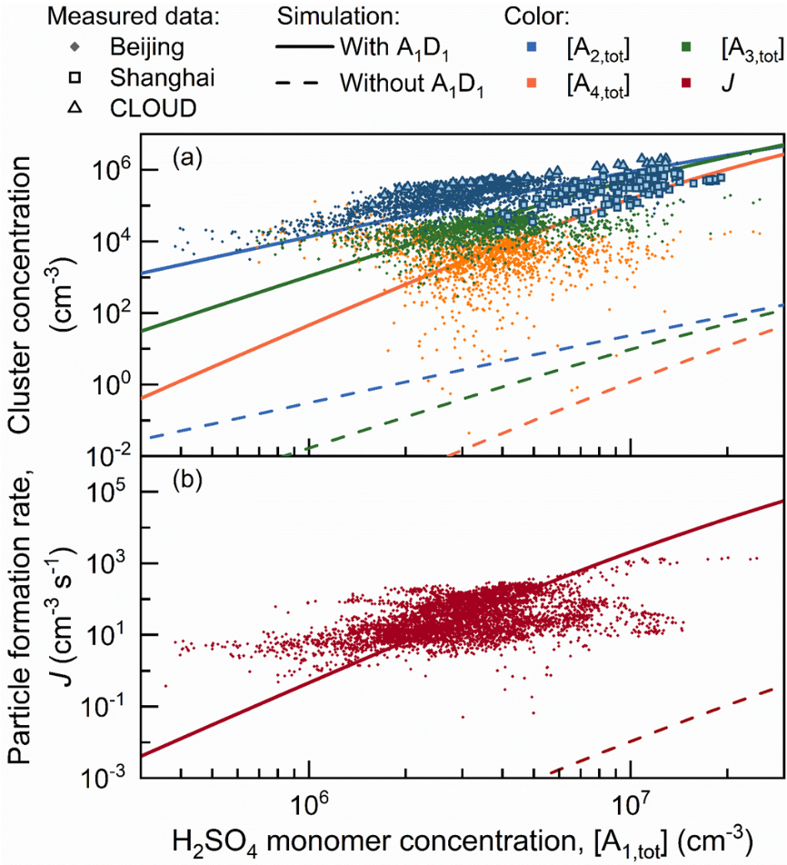
To verify the new mechanism, the research group combined quantum chemistry with cluster dynamics to simulate the new particle formation process, and compared the simulation results with atmospheric measurements and chamber experiment results. As shown in Figure 2, the formation rate of H2SO4-containing cluster and new particles predicted by the new mechanism is several orders of magnitude higher than the traditional mechanism, showing good consistency with atmospheric measurements and chamber experiment results.

Figure 2: Comparison of theoretical and measurementresults. The solid line represents the new mechanism, the dashed line represents the traditional mechanism, and the scattered dots represent the observed values.
The new mechanism indicates that a significant proportion of the measured gaseous H2SO4 molecules actually exist as acid-base heterodimer clusters, and gaseous H2SO4 will participate in the growth process of larger clusters in the form of acid-base heterodimer clusters. At the same time, an increase in amine concentration can increase the proportion of acid-base heterodimer clusters in gaseous H2SO4, and improve the probability of effective collisions between gaseous H2SO4 molecules and the formation of larger clusters, pushing the cluster formation rate and new particle formation rate towards the theoretical maximum (Figure 3).

Figure 3: Relative concentration of clusters containing two H2SO4 molecules (y-axis) versus the ratio of acid-base heterodimers (x-axis).
The new mechanism also explains the characteristics of atmospheric new particle formation as temperature changes. As temperature rises, the stability of acid-base dimer clusters decreases, and their formation is inhibited, making high temperatures unfavorable for the formation of acid-base clusters and new particles. As shown in Figure 4, the concentration of acid-base clusters and the new particle formation rate measured in Beijing and Shanghai both decrease as the temperature rises, consistent with the predictions of the new mechanism. This also answers the conundrum of why new particle formation in Beijing is weaker during the summer when the sunlight is stronger instead.

Figure 4: The impact of temperature on new particle formation. (a) Ratio of acid-base bimolecular clusters; (b) Concentration of clusters containing two H2SO4 molecules; (c) Rate of new particle formation.
In a complex atmospheric environment with multiple pollutants coexisting, gas molecules with higher basicity and concentration are more likely to combine with gaseous H2SO4 molecules to form acid-base dimer clusters. The research group conducted thermodynamic and kinetic characterization of the detected gaseous base molecules and found that amines, represented by dimethylamine, are the key base molecules for forming acid-base dimers, while weak bases such as ammonia are more likely to participate in the subsequent cluster growth process (Figure 5). With the help of these base gases, the transformation of gaseous H2SO4 into new particles requires overcoming only a very low energy barrier, thereby achieving a high new particle formation rate close to the collision limit of H2SO4 (theoretical maximum).

Figure 5 shows the free energy barrier of new particle formation. The lower the free energy value on the vertical axis, the easier it is for clusters to form.
The findings highlight the importance of bases such as amines for the formation of ultrafine particles within the atmospheric boundary layer and their impact on regional and global climate.
The study, titled “The missing base molecules in atmospheric acid-base nucleation,” was published in the National Science Review (NSR) journal. The first author is Cai Runlong, a doctoral graduate from Tsinghua University and a postdoctoral researcher at the University of Helsinki. The corresponding authors are Professor Jiang Jingkun of Tsinghua University and Professor Markku Kulmala of the University of Helsinki. Collaborating institutions include Beijing University of Chemical Technology, Nanjing University of Information Science and Technology, Fudan University, Beijing Institute of Technology, University of California, and Carnegie Mellon University.
Paper link: https://doi.org/10.1093/nsr/nwac137
Contributed by: Division of Air Pollution and Its Control