Home>主页LATEST NEWS

​Investigation of Reverse Oxygen Spillover Interface Chemistry in CO Catalytic Oxidation by Junhua Li from School of Environment

Recently, Professor Junhua Li and his team from School of Environment at Tsinghua University have made new progress in the study of reverse oxygen spillover (ROS) in CO catalytic oxidation reactions. They have revealed the ROS interface chemistry triggered by CO adsorption. These research findings contribute to the design and synthesis of novel thermo-, photo-, and electro-catalytic materials for environmental remediation and new energy applications.

The ROS is crucial in redox reactions, but compared to hydrogen spillover, the mechanism of ROS remains unclear. In this study, the researchers investigated the reaction process of CO oxidation on Pt/TiO2 catalysts using low concentrations of CO pollutants in exhaust gases. The results showed that doping the support TiO2 with Sn activated the ROS process in the Pt/TiO2 catalyst at low temperatures (<100°C), significantly enhancing the CO oxidation activity. By combining near-ambient pressure X-ray photoelectron spectroscopy (NAP-XPS), in-situ Raman/infrared spectroscopy, and ab initio molecular dynamics simulations (AIMD), the researchers revealed that the ROS process was initiated by CO adsorption at Pt2+ sites, leading to the breaking of Sn-O-Ti bonds and subsequent migration of oxygen to active sites, resulting in the generation of Pt4+ species.

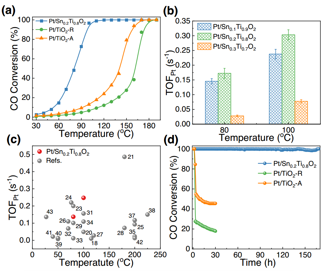
Figure 1. CO oxidation ability and stability.

The results of the activity tests revealed that among the Pt catalysts with the same Pt loading, Pt/Sn0.2Ti0.8O2 exhibited the highest CO oxidation activity, indicating the significant role of Sn doping in promoting low-temperature CO oxidation. Moreover, Pt/Sn0.2Ti0.8O2 demonstrated excellent sulfur resistance and water tolerance.

Figure 2. In situ NAP-XPS and in situ Raman of Pt/Sn0.2Ti0.8O2, Pt/TiO2-R and Pt/TiO2-A.

Throughout the entire in situ NAP-XPS study, no peaks corresponding to metallic Pt species were detected. After H2 pretreatment, only Pt2+ was observed, and no Pt4+ species were observed even after further O2 treatment. However, Pt/Sn0.2Ti0.8O2 exhibited the formation of Pt4+ species upon CO + O2 introduction, and Pt4+ species were only present during CO flow. Such phenomena were not observed for Pt/TiO2-R and Pt/TiO2-A catalysts. Furthermore, on the surface of Pt/Sn0.2Ti0.8O2, the oxidation of Pt2+ to Pt4+ and CO oxidation occurred simultaneously, indicating the migration of lattice oxygen to Pt sites followed by CO oxidation to CO2, thus confirming the occurrence of ROS. In the in situ Raman spectra, all peaks were attributed to Ti-O vibrations, but only the Pt/Sn0.2Ti0.8O2 catalyst exhibited peak shifts, indicating a change in the oxygen coordination environment within the support and providing additional evidence for the occurrence of ROS.

Figure 3. DFT simulation of CO oxidation over Pt/Sn0.2Ti0.8O2 and Pt/TiO2-R.

Density functional theory (DFT) was employed to simulate the charge density changes upon CO adsorption on Pt/Sn0.2Ti0.8O2 and Pt/TiO2-R catalysts. The adsorption of CO on Pt/Sn0.2Ti0.8O2 led to an increase in the charge density of O in the Sn-O-Ti bond, promoting the occurrence of ROS, which was not observed in the reference sample Pt/TiO2-R catalyst. Additionally, the ROS process was visually observed through AIMD simulations.

The research findings, titled "Reverse Oxygen Spillover Triggered by CO Adsorption on Sn-doped Pt/TiO2 for Low-Temperature CO Oxidation", were published online in Nature Communications. The first author of the paper is Associate Professor Jianjun Chen from School of Environment, Tsinghua University. The co-first and co-corresponding author is Assistant Professor Shangchao Xiong from Southwest Jiaotong University (a doctoral graduate from School of Environment, Tsinghua University, class of 2021). The corresponding author of the paper is Professor Junhua Li from School of Environment, Tsinghua University. The research was supported by the National Key Research and Development Program and the National Natural Science Foundation, among other funding sources.

Link to the paper: https://www.nature.com/articles/s41467-023-39226-6

Editor: Li Han

Copyright 2001-2021 news.tsinghua.edu.cn. All rights reserved.