Home>主页LATEST NEWS

Progress on Heisenberg-limited spin squeezing

Recently, a research team led by Prof. Yong-Chun Liu at Department of Physics, Tsinghua University, proposed a generic scheme to synthesize spin squeezing in non-squeezing systems. By using periodical rotation pulses, the original non-squeezing interaction can be transformed into squeezing interaction. The generated spin squeezing is capable of achieving the Heisenberg limit (HL) with measurement precision for N particles. This work provides opportunities for extending the scope of Heisenberg-limited quantum precision measurements in non-squeezing systems. This work has been published in npj Quantum Information with the title “Dynamic synthesis of Heisenberg-limited spin squeezing”.

Squeezed spin states are such entangled states of collective spins in which the uncertainty of one spin component perpendicular to the mean spin direction is reduced below the standard quantum limit (SQL). They play an important role in high-precision measurements and in the study of many-body entanglement. Their generation is still a challenging task because it is involved with many-body entanglement and the experimental realization of the required squeezing interaction remains difficult. Most of the existing approaches to realize spin squeezing include the following three categories: (i) squeezing transfer from squeezed light to atoms; (ii) quantum nondemolition (QND) measurement which probabilistically projects the atoms into the squeezed state; (iii) squeezing interaction which dynamically generates squeezing via unitary evolution. However, these schemes either meet difficulties for transfer efficiency, or has limited performances, or requires stringent experimental conditions. For the method of utilizing squeezing interactions, there are two well-known mechanisms: one-axis twisting (OAT) and two-axis countertwisting (TAT). The TAT interaction can achieve the Heisenberg limit with measurement precision for N particles, but implementation of TAT squeezing still remains a challenge since its form of interaction does not occur naturally in most systems of interest for spin squeezing.

Fig. 1 Spin squeezing via dynamic synthesis. (a) Schematic diagram of atom-light interaction system with Faraday magneto-optic rotation. (b) Schematic diagram of dipole-dipole interaction system consisting of two atomic ensembles. (c) An illustration of the pulse sequence for the synthesis of the OAT squeezing. (d) Evolution of the quantum states for subsystems S (upper panel) and J (lower panel) during the first pulse cycle, represented by the Husimi Q function on the generalized Bloch spheres. (e) Evolution of the squeezing parameters for subsystem S when different number of rotation pulses are applied.

In this work, the research team proposes a dynamic synthesis scheme to deterministically generate high-degree spin squeezing, without requiring original squeezing interactions. Aided by a periodic rotation pulse sequence, the common non-squeezing interactions in the coupled systems such as atom-light interaction system and dipole-dipole interaction system can be dynamically synthesized into the squeezing interactions, facilitating a squeezed spin state from an initially uncorrelated state, as is shown in Fig. 1. The degree of spin squeezing is usually quantified by the squeezing parameter, the smaller value of which indicates the better squeezing performance. Both OAT and TAT interactions can be effectively synthesized with corresponding pulse sequences, which hence leads to a squeezing performance approaching to the HL, as is shown in Fig. 2 and 3, respectively.

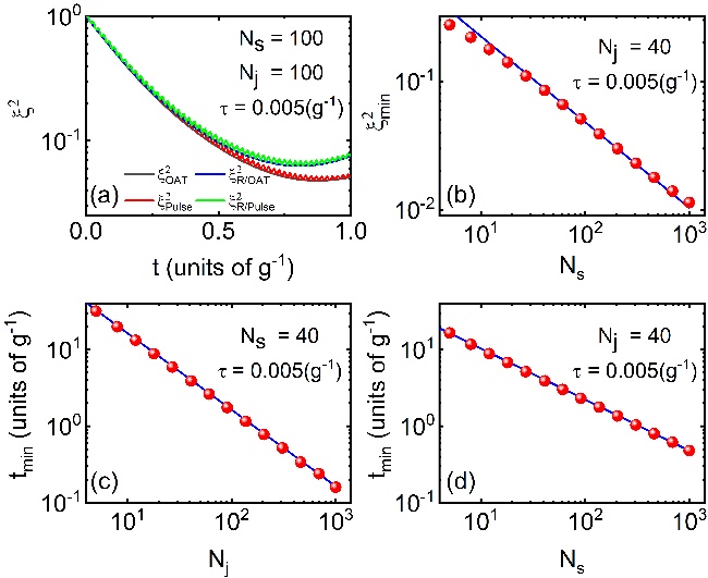
Fig. 2 Dynamic synthesis of OAT squeezing. (a) Evolution of the spin squeezing parameter for the OAT pulse scheme. (b)-(d) The optimal spin squeezing parameter and the optimal squeezing time as functions of particle numbers Ns and Nj for the OAT pulse scheme, respectively

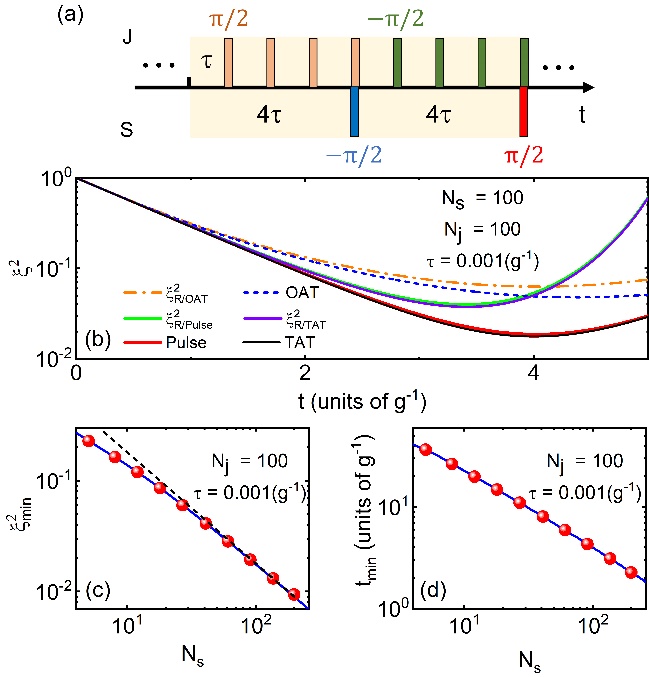
Fig. 3 Dynamic synthesis of TAT squeezing. (a) An illustration of the pulse sequence for the synthesis of TAT squeezing. (b) Evolution of the squeezing parameters for the TAT pulse scheme. (c) (d) The optimal spin squeezing parameter and the optimal squeezing time as functions of particle numbers Ns and Nj for the TAT pulse scheme, respectively

Furthermore, in their work, the strength of the generated interaction is enhanced (faster dynamics or shorter evolution) due to the collective effect and the sign of the interaction coefficient is flippable, presenting its capability of realizing the time-reversal dynamics for nonlinear interferometers.

The scheme is universal and can be applied in various non-squeezing systems, hence largely enriches the variety of systems that can realize spin squeezing.

The first author of the paper is graduate student Long-Gang Huang from Department of Physics, Tsinghua University. The corresponding author is associate Prof. Yong-Chun Liu, who conceived the idea and supervised this project. This work is supported by the Key-Area Research and Development Program of Guangdong Province, the National Natural Science Foundation of China (NSFC), and the National Key R&D Program of China.

Research link: https://www.nature.com/articles/s41534-021-00505- z

Editor: Li Han

Copyright 2001-2021 news.tsinghua.edu.cn. All rights reserved.